Veterinaria (Montevideo), 2025 61(224), 10.29155/VET.61.224.5
Artículo original
Ataques de perros a ovinos en Uruguay, distribución geográfica y estimación de pérdidas económicas (2018-2019)
Dog attacks on sheep in Uruguay, geographical distribution and estimation of economic losses (2018-2019)
Ataques de cães a ovinos no Uruguai, distribuição geográfica e estimativa de perdas econômicas (2018-2019)
Emiliano Barcos1 https://orcid.org/0009-0009-4324-1377
Javier Román1 https://orcid.org/0000-0003-4855-6000
Gustavo Benítez1 https://orcid.org/0000-0003-0020-3222
1Unidad Académica de Economía y Administración, Departamento de Ciencias Sociales, Facultad de Veterinaria, Universidad de la República, Montevideo, Uruguay. Autor para correspondencia: gustavo.benitez@fvet.edu.uy
Resumen
La predación de ovinos por perros es una gran preocupación para los productores ya que ocasiona heridas, mortalidad y pérdidas económicas. La distribución de los ataques depende del número de presas, de la presencia de predadores y de los mecanismos antipredadores disponibles. Comprender la dinámica de los ataques y estimar las pérdidas asociadas es esencial para tomar decisiones informadas. El objetivo de este trabajo fue caracterizar las denuncias por ataques de perros a ovinos y estimar las pérdidas económicas en Uruguay. A partir de denuncias de ataques de perros a animales productivos centralizadas por el INBA en 2018 y 2019, se analizó la distribución geográfica de los ataques y la cantidad de animales afectados. Las pérdidas económicas se calcularon asumiendo que todas las ovejas reportadas habían muerto y se expresaron según el número de productores, de habitantes rurales y de la población ovina. También se proyectaron las pérdidas considerando la subnotificación, ya que las denuncias representan una pequeña proporción de los ataques reales. En total, se registraron 811 denuncias que involucraron a 7163 ovinos, con un promedio por ataque de menos de diez ovinos predados y con un valor económico aproximado de USD 540. Proyectando la subnotificación al nivel de ataques potencial, se estimó una pérdida económica de USD 10 197 000 entre 2018 y 2019. La distribución territorial de las denuncias y ovinos predados es heterogénea y exhibe para los departamentos de Lavalleja y Paysandú un alto número de denuncias y de ovinos afectados por productor. Los departamentos tradicionalmente asociados a la producción ovina, como Salto, Artigas y Paysandú, registraron menos afectaciones en relación con su población ovina total. En suma, los hallazgos dan cuenta de la relevancia del problema para los productores y resalta la importancia de fomentar las denuncias y mejorar el acceso a los datos para optimizar la toma de decisiones.
Palabras clave: Predación, Perros, Ovejas, Pérdidas económicas
Abstract
The predation of sheep by dogs is a significant concern for producers as it causes injuries, mortality, and economic losses. The distribution of attacks depends on the number of prey, the presence of predators, and the available anti-predator mechanisms. Understanding the dynamics of these attacks and estimating the associated losses is essential for informed decision-making. The objective of this study was to characterize reports of dog attacks on sheep and estimate economic losses in Uruguay. Based on reports of dog attacks on livestock centralized by INBA in 2018 and 2019, the geographical distribution of attacks and the number of affected animals were analyzed. Economic losses were calculated under the assumption that all reported sheep had died and expressed according to the number of producers, rural inhabitants, and the sheep populations. Losses were also projected considering underreporting, as reports represent only a small proportion of actual attacks. In total, 811 reports involving 7,163 sheep were recorded, with an average of fewer than ten sheep predated per attack and an approximate economic value of USD 540. Projecting underreporting to the level of potential attacks, an economic loss of USD 10,197,000 was estimated between 2018 and 2019. The territorial distribution of reports and predated sheep is heterogeneous, with the departments of Lavalleja and Paysandú showing a high number of reports and sheep affected per producer. Departments traditionally associated with sheep production, such as Salto, Artigas, and Paysandú, recorded fewer impacts relative to their total sheep population. In summary, the finding highlights the importance of this problem for local producers and underscores the importance of promoting reporting and improving data access to optimize decision-making processes.
Keywords: Predation, Dog, Sheep, Economic losses
Resumo
A predação de ovinos por cães é uma preocupação significativa para os produtores, pois causa ferimentos, mortalidade e perdas econômicas. A distribuição dos ataques depende do número de presas, da presença de predadores e dos mecanismos anti-predadores disponíveis. Compreender a dinâmica dos ataques e estimar as perdas associadas é essencial para a tomada de decisões informadas. O objetivo deste trabalho foi caracterizar as denúncias de ataques de cães a ovinos e estimar as perdas econômicas no Uruguai. A partir de denúncias de ataques de cães a animais de produção centralizadas pelo INBA em 2018 e 2019, analisou-se a distribuição geográfica dos ataques e a quantidade de animais afetados. As perdas económicas foram calculadas partindo do princípio de que todas as ovelhas registadas tinham morrido e expressas de acordo com o número de produtores, habitantes rurais e populações de ovinos. As perdas também foram projetadas considerando a sub notificação, já que as denúncias representam uma pequena proporção dos ataques reais. No total, foram registradas 811 denúncias envolvendo 7163 ovinos, com uma média de menos de dez ovinos predados por ataque e um valor econômico aproximado de USD 540. Projetando a sub notificação para o nível de ataques potenciais, estimou-se uma perda econômica de USD 10 197 000 entre 2018 e 2019. A distribuição territorial das denúncias e ovinos predados é heterogênea, com os departamentos de Lavalleja e Paysandú apresentando um alto número de denúncias e ovinos afetados por produtor. Os departamentos tradicionalmente associados à produção ovina, como Salto, Artigas e Paysandú, registraram menos impactos em relação à sua população total de ovinos. Em suma, as descobertas destacam a relevância desse problema para os produtores locais e ressalta a importância de promover as denúncias e melhorar o acesso aos dados para otimizar os processos de tomada de decisão.
Palavras-chave: Predação, Cão, Ovelha, Perdas econômicas
Fecha de recibido: 11/03/2025
Fecha de aceptado: 30/09/2025
Introducción
La producción ovina ha desempeñado un papel crucial en la historia y el desarrollo socioeconómico de Uruguay, tanto como fuente de alimento para el consumo interno como por la generación de divisas mediante la exportación de su materia prima. El stock ovino nacional en 2024 se ubicó en 5,3 millones de cabezas y alcanzó mínimos históricos (Ministerio de Ganadería Agricultura y Pesca [MGAP], 2024) con una producción anual de 78 mil toneladas de carne y 24,7 mil toneladas de lana sucia (Sistema Nacional de Identificación Ganadera [SNIG], 2023). Este sector productivo enfrenta diversas dificultades. Entre las más relevantes se encuentra la mortandad de ovinos provocada por enfermedades parasitarias, infecciosas, intoxicaciones o traumáticas (Cecco et al., 2021; Lovatt et al., 2014). También es frecuente la mortandad de corderos asociada a partos distócicos, síndrome de inanición-exposición, efectos climáticos adversos y predadores (Azzarini, 2000; Dutra, 2005; Magaña et al., 2012). Los predadores en general, y el perro en particular, han sido reportados como un problema recurrente en diversos países (Buttler et al., 2004; Jones, 2004; Lapidge et al., 2006; Van Niekerk, 2010). Estos ocasionan traumatismos externos, como mutilación de orejas y colas, desgarros en la piel, mordiscos en muslos, manos, patas, cuello y evisceración; varían en función del objetivo del predador, ya sea alimenticio o recreativo (Loste et al., 2003). Las consecuencias de la predación son una de las principales preocupaciones para los productores, ya que afectan directamente la sustentabilidad del rubro (Ganzábal, 2018).
Según una encuesta realizada por Zambra et al. (2018), el 87 % de los productores en Uruguay sufrieron ataques por predadores, más de la mitad de los encuestados reportaron entre 20 y 200 ataques anuales. Dentro de estos ataques, uno de cada cuatro había sido efectuado por perros. Por otra parte, en la Encuesta Ganadera Nacional de 2016, se menciona al perro como responsable del 33,9 % de los ataques (MGAP, 2018). La población canina en el país supera los 1,5 millones de perros en hogares (Instituto Nacional de Estadística [INE], 2023), los que podrían tener acceso libre a la vía pública. Esta cifra no contempla a los perros sin dueño identificable, lo que sugiere que el número real es aún mayor. La estimación de las pérdidas económicas es fundamental para dimensionar el alcance del problema y evaluar la relación costo-beneficio del uso de mecanismos de control de predadores, debido a que solo aquellos que presentan niveles altos de eficacia son rentables (Saitone & Bruno, 2020). En 2014, una estimación realizada por el Departamento de Agricultura de Estados Unidos reportó una pérdida total por predadores de USD 32 581 millones, de los cuales el 21,4 % correspondió a ataques de perros (United States Department of Agriculture [USDA], 2015). En Australia, entre 2013 y 2014, se registraron pérdidas de aproximadamente USD 26,78 millones debido a perros asilvestrados, dingos (Canis lupus dingo) y sus cruzas (McLeod, 2016). En el Reino Unido, se estimó una pérdida promedio de USD 2007 por productor (National Sheep Association, 2020).[1]
La predación de animales productivos en Uruguay representa un problema de creciente preocupación para los productores; sin embargo, la literatura nacional que aborda este tema es limitada. Ruiz et al. (2024) reportaron que los ataques tienen un efecto negativo sobre la salud mental de los productores, el malestar psicológico se asocia sobre todo a la cantidad de animales afectados y a las pérdidas ocasionadas. Un informe del Área de Economía y Administración (2017) de la Facultad de Veterinaria de la Universidad de la República (Udelar) estimó en USD 68 768 las pérdidas por ataques de perros a ovinos durante diez meses de 2017, aunque los autores sugieren que la cantidad de denuncias registrada está fuertemente subestimada. Según nuestro conocimiento, no existen otras estimaciones sobre las pérdidas que ocasionan los ataques de perros a ovinos en el país. El registro centralizado del Instituto Nacional de Bienestar Animal (INBA) a partir del año 2016 ha sido un paso importante, ya que permite la identificación y sistematización de los ataques denunciados. El objetivo de este trabajo fue caracterizar las denuncias centralizadas por el INBA relativas al ataque de perros a ovinos y estimar las pérdidas económicas asociadas.
Hipótesis
Los ataques de perros a ovinos causaron pérdidas económicas significativas para Uruguay durante los años 2018 y 2019; tanto las denuncias por estos ataques como el número de ovinos predados presentan una distribución geográfica heterogénea en el territorio.
Materiales y métodos
Colecta de datos
Los datos fueron proporcionados por el INBA con base en denuncias realizadas ante el Ministerio del Interior (MI). Se emplearon fuentes adicionales de información, como las declaraciones juradas de la Dirección de Contralor de Semovientes (DICOSE), para obtener datos sobre la población ovina y el número de productores; el Censo Nacional de Población y Vivienda de 2011 del Instituto Nacional de Estadística (INE), para la población rural; los informes del Secretariado Uruguayo de la Lana (SUL), para los precios de la lana; los reportes de la Asociación de Consignatarios de Ganado (ACG), para el precio de las ovejas; el Anuario Estadístico del Instituto Nacional de Carnes (INAC), para los pesos de las ovejas y las cotizaciones del dólar del Banco Central del Uruguay (BCU).
Procesamiento de datos
Se relevaron 852 denuncias entre los años 2018 y 2019. Inicialmente, se calculó el número total de denuncias y animales afectados por especie productiva, por seccional policial,[2] por departamento y por zona norte o sur (considerándose el Río Negro como delimitación). Algunas denuncias ingresadas al sistema mediante la Brigada de Seguridad Rural Departamental no identifican seccional policial, en estos casos, la información fue considerada solo en el análisis departamental. Además, se registraron montos de las pérdidas económicas percibidas por los productores que surgieron de sus propias declaraciones. La información del 2019 solo presentaba denuncias totales de animales predados (no identificados por especie) y valorización por productores por departamento, por lo que se los consideró como ovinos y no permitió un mayor análisis.
Con los datos obtenidos se representó espacialmente la distribución de las denuncias y de los ovinos predados. Para su mejor visualización, se optó por asignar un gradiente en tonos azules para representar las denuncias y otro en tonos naranja para la cantidad de ovinos predados.
Los datos de las denuncias se relacionaron con otras variables poblacionales (humanas y ovinas) y se obtuvieron los siguientes indicadores según el departamento:
- Número de denuncias / 100 productores de ovinos
- Número de denuncias / 1000 habitantes de zona rural
- Número de ovinos denunciados como predados / número de denuncias
- Número de ovinos denunciados como predados / 10 000 ovinos
- Número de ovinos denunciados como predados / ovinos muertos
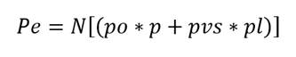
Para las estimaciones, se asumió que todos los ovinos afectados pertenecían a la categoría más representativa de la especie (ovejas de cría) y que todos murieron como consecuencia del ataque. Las pérdidas económicas estimadas en el estudio se basaron en las pérdidas directas relacionadas con los ataques, considerando el costo de reemplazo del animal muerto y el valor de la lana no producida (pérdida de vellones). Los cálculos se hicieron con base en el peso del animal, el peso del vellón y sus respectivos valores por kilogramo. La siguiente fórmula representa el cálculo realizado:

Donde:
- Pe son las pérdidas económicas directas por predación,
- N es el número de ovinos predados por perros,
- po es el peso promedio de las ovejas,[3]
- p es el precio promedio de ovejas en pie por kg para cada año,[4]
- pv es el peso promedio del vellón sucio[5] y
- pl es el precio promedio de la lana.[6]
A su vez, las pérdidas se relacionaron con otras variables relevantes mediante la construcción de tres indicadores, aplicados tanto a nivel departamental como nacional:
- Pérdidas totales estimadas / número de denuncias.
- Pérdidas totales estimadas / número de productores de ovinos.
- Pérdidas totales estimadas / 10 000 ovinos.
Considerando la posible subnotificación de los ataques (Área de Economía y Administración, 2017), se realizó una proyección de las pérdidas económicas estimadas totales para el país. Esta corrección tuvo en cuenta la discrepancia entre el porcentaje de productores que presentaron denuncias por predación en los años de estudio (dato hallado en el presente trabajo) y el porcentaje de productores afectados por predadores según lo reportado en la Encuesta Nacional Ganadera de 2016, que indicó que 5795 de los encuestados (33,9 % del total de los productores con ovinos) enfrentaron ataques por perros (MGAP, 2018).
Resultados
Entre los años 2018 y 2019 se realizaron un total de 852 denuncias. De estas, se descartaron cuatro reportes debido a incongruencias en los datos. En las 848 denuncias restantes, el 98,8 % correspondía a ataques a ovinos, el 0,98 % a ataques a vacunos y el 0,22 % a equinos, suinos y caprinos en conjunto. De las denuncias vinculadas a ovinos, el 47 % se hicieron en 2018 (n=379), mientras que el 53 % restante en 2019 (n=432).
Según los reportes de 2018, el 53 % de los casos se registraron en el sur del país, mientras que el 47 % correspondía al norte. La mediana de denuncias por departamento fue de 16 (mínima = 0; máxima = 64). El 52,5 % de las denuncias fueron registradas en cinco departamentos: Lavalleja, Paysandú, Artigas, Salto y Rivera. Los departamentos con menor número de denuncias fueron Colonia, Flores y Montevideo (figura 1a). En cuanto a las seccionales policiales, el 54 % de estas no recibieron denuncias por predación durante el año, el 34 % recibieron hasta tres denuncias, un 8 % de cuatro a seis denuncias y un 4 % más de seis denuncias.
En total, hubo 3356 ovinos predados en 2018. Los mismos cinco departamentos que registraron mayor número de denuncias fueron los que obtuvieron los mayores números de ovinos predados y concentraron el 53,2 % del total (figura 1b). La media de los ovinos predados por departamento fue de 167 (mínima = 0; máxima = 459), Colonia y Soriano fueron los departamentos con menor frecuencia de ataques. La media para las seccionales policiales que sí recibieron denuncias fue de 18 ovinos predados.

Figura 1: Distribución departamental de las denuncias, en tonos azul (1a) y de ovinos predados en tonos naranja (1b) en 2018
Para el año 2019, el 52 % de las denuncias se registró en el sur del país y el 48 % en el norte. También se constató una relativa concentración territorial en cinco departamentos, aunque con algunos cambios: Lavalleja, Paysandú, Durazno, Tacuarembó y Florida concentraron el 51,6 % de las denuncias. La mediana de estas por departamento fue de 18 animales (mínima = 2; máxima = 72). Los departamentos que registraron las frecuencias de denuncias más bajas para el año fueron Montevideo y San José (figura 2a).
En dicho año se registraron 3807 ovinos predados, 43 % pertenecían al norte del Río Negro y el 57 % al sur. La mediana de ovinos predados por departamento fue de 151 ovinos (mínima = 10; máxima = 754). El mayor número de ovinos predados lo alcanzaron Lavalleja, Florida, Salto, Tacuarembó y Paysandú, que en conjunto representaron el 59,8 % de los ovinos para el año. Los menores valores de ovinos predados lo obtuvieron Montevideo con diez y San José con doce ovinos.

Figura 2: Distribución departamental de las denuncias, en tonos azul (2a) y de ovinos predados en tonos naranja (2b) en 2019
Análisis de indicadores
En 2018, el 1,4 % de los productores de ovinos realizaron denuncias, mientras que en 2019 esta cifra se elevó al 1,6 %. Los departamentos de Lavalleja, Paysandú y Florida mantuvieron niveles altos de denuncias en función del número de productores, año tras año. Sin embargo, algunos departamentos experimentaron variaciones considerables. Por ejemplo, Artigas, que tuvo más denuncias por productor en 2018, vio descender este indicador al año siguiente. En contraste, Río Negro, que ocupaba el séptimo lugar en 2018, pasó a tener el mayor nivel de denuncias por número de productores en 2019.
La media de denuncias por cada 1000 habitantes de zonas rurales fue de 2,2 en 2018 y de 2,4 en 2019. Los cuatro departamentos que encabezaron el índice (Lavalleja, Artigas, Paysandú y Durazno) mantuvieron niveles elevados al año siguiente, con un incremento en las denuncias. De estos, solo Lavalleja y Paysandú presentaron niveles altos de denuncias tanto en relación con el número de productores como con la población rural. El número de denuncias por productor con ovinos y por habitantes rurales en cada departamento se detalla en la tabla 1.
Tabla 1. Tasas de denuncias presentadas por predación de ovinos por perros en relación con el número de productores en 2018 y 2019

A nivel nacional, se registró un promedio de 8,8 ovinos predados por denuncia en 2018 y de 8,9 en 2019. Por departamento, el promedio máximo de ovinos predados por denuncia fue de 14,4 en Cerro Largo en 2018 y de 12,2 en Florida en 2019. En contraste, Montevideo tuvo el menor número de ovinos predados por denuncia en ambos años, con cero en 2018 y cinco en 2019.
En 2018, se reportaron 5,2 ovinos predados por cada 10 000 cabezas de ovinos, cifra que alcanzó 5,8 en 2019. Lavalleja y Canelones mostraron altos niveles de ovinos predados en relación con la población ovina total durante ambos años. San José, Maldonado y Rivera también presentaron un gran número de ovinos predados en 2018, aunque en 2019 los niveles de predación fueron medios. Por otro lado, Montevideo y Florida fueron los departamentos donde la tasa de predación aumentó significativamente en comparación con los valores de 2018.
Tabla 2. Ovinos predados en 2018 y 2019 cada 10 000 ovinos

Pérdidas económicas
Los resultados sobre la incidencia de los ataques de perros en la mortalidad total de ovinos muestran que alcanzan el 0,9 % de las muertes registradas en 2018 y el 1 % en 2019. Las pérdidas económicas estimadas por ataque fueron de USD 535 en 2018 y USD 539 en 2019. Las pérdidas totales por departamento para ambos años se detallan en las tablas 2 y 3.
Tabla 3. Pérdidas económicas (en miles de USD) por departamento en 2018 y 2019

Las pérdidas por denuncia fueron de USD 539 en 2018 y de USD 574 en 2019, mientras que las pérdidas económicas totales por la reposición de animales y los vellones perdidos se estimaron en USD 204 200 para 2018 y USD 247 900 para 2019. La valorización de estas pérdidas por parte de los productores ovinos fue de USD 228 000 en 2018 y USD 245 000 en 2019.
En función de la cantidad de productores, las pérdidas aumentaron de un año al otro, pasaron de USD 763 a USD 930 cada 100 productores de un año a otro. Artigas, Paysandú, Lavalleja y Salto reportaron pérdidas superiores a USD 1000 por cada 100 productores en ambos años. Con las correcciones realizadas con base en los datos aportados por la Encuesta Ganadera Nacional de 2016, las pérdidas económicas totales de Uruguay fueron estimadas en USD 4 944 557 en 2018 y USD 6 002 721 en 2019.
Discusión
La principal especie productiva afectada por el ataque de perros es la ovina, mientras que el impacto sobre otras especies resulta marginal. Sin embargo, el perro no es el principal predador de las majadas, ya que el zorro y el carancho poseen una mayor incidencia en los ataques (MGAP, 2018; Zambra et al., 2019). La distribución geográfica de los ataques y los ovinos predados es heterogénea en el territorio nacional, con una mayor frecuencia de ataques en el norte del país. Esto contrasta con Zambra et al. (2019), quienes constataron un mayor número de ataques en el sur. Los patrones de distribución de estos estarían determinados por la presencia de predadores en la zona, influenciada por factores como el número de presas, los mecanismos antipredadores e incluso la presencia de otros predadores que podrían evitar el encuentro espacial o temporal (Zambra et al., 2021).
Los departamentos con alta población ovina, como Salto, Artigas y Tacuarembó, presentan tasas de predación relativamente bajas en relación con su stock ovino. Por el contrario, los departamentos de Lavalleja y Rivera registran altas tasas a pesar de contar con poblaciones ovinas menores. Estos resultados contrastan con lo señalado en la literatura internacional (Gula, 2008; Home et al., 2017; Mabille et al., 2015; Šuba et al., 2023), en la que se plantea que una mayor densidad de ovinos está asociada de forma positiva al riesgo de ataques de predadores. Asimismo, los datos muestran que el número de ataques no guarda una relación directa con la población rural de los departamentos, contrariamente a lo que podría esperarse, dado que zonas más pobladas suelen concentrar una mayor cantidad de perros (Bhalla et al., 2021; Moran et al., 2022; Morters et al., 2014). Departamentos con menor densidad de población rural, como Lavalleja, Paysandú, Durazno y Artigas, presentan índices de denuncias más elevados. En contraste, otros con una población rural más numerosa, como San José, Canelones y Colonia, registran un número relativamente bajo de denuncias. Rocha, Florida, Salto y Rivera constituyen excepciones a esta tendencia.
Estas diferencias entre departamentos podrían responder a múltiples factores no analizados en profundidad en este estudio. Una posible explicación es la subnotificación, que podría estar influida por aspectos socioculturales que desincentivan la denuncia o por la percepción de baja eficacia en la respuesta institucional. También podrían incidir diferencias en las políticas locales, como la efectividad de las campañas de control canino aplicadas, o factores contextuales específicos, como la presencia de perros alimentados en basurales o zonas urbanas cercanas. Asimismo, el tamaño y las características de los establecimientos podrían influir de diferentes maneras. Por un lado, los predios más pequeños, como los que predominan en Canelones o San José, facilitarían un mayor control sobre los animales y el entorno. Por otro, en zonas ovejeras con grandes extensiones y mayores recursos disponibles, como Artigas o Paysandú, los productores podrían implementar medidas más efectivas para enfrentar el problema. En cambio, en departamentos con explotaciones extensas, pero con menor disponibilidad de recursos, podría combinarse una menor capacidad de control con una limitada respuesta ante los ataques, lo que incrementaría la vulnerabilidad frente al problema. Estas hipótesis no pueden confirmarse con los datos analizados y requieren ser abordadas en estudios posteriores. No obstante, la posible subnotificación debe considerarse como una limitante clave al interpretar los resultados.
Los productores que denuncian tienen una percepción acertada de las pérdidas directas causadas por la predación de sus majadas. Según Cravino et al. (2000), hay una sobrevaloración del 300 % de las pérdidas ocasionadas, ya que los productores tienden a atribuir las muertes a los predadores sin considerar si el animal era viable o no, dado que estos suelen elegir a las presas más debilitadas. Aunque dicho estudio se refiere específicamente a corderos, se puede suponer que se ha incurrido en el mismo error al registrar ataques a corderos que, en realidad, no habrían sobrevivido debido a condiciones desfavorables. A pesar de ello, los ataques por perros domésticos suelen tener fines recreativos más que alimenticios, lo que genera un gran número de animales heridos o muertos de manera indiscriminada (Loste et al., 2003). Esto incrementa de manera significativa las pérdidas económicas y los costos asociados, no solo por la recuperación de los ovinos heridos (que incluye gastos veterinarios, tratamientos y tiempo invertido), sino también por la pérdida de animales de alto valor genético.
Los estudios internacionales evidencian impactos económicos significativos (McLeod, 2016; National Sheep Association, 2020; USDA, 2015) que respaldan la necesidad de continuar los estudios para mitigar el problema. La estimación de las pérdidas económicas resulta clave para dimensionar su magnitud y evaluar si el costo de los mecanismos antipredadores se justifica frente a sus beneficios, ya que solo aquellos con alta eficacia son rentables (Saitone & Bruno, 2020). Entre los métodos preventivos más efectivos contra ataques de perros se destacan los potreros eléctricos de siete hilos, la malla australiana de dos hilos y el uso de perros pastores (García Pintos, 2023). En el caso de la malla australiana, su costo estimado es de USD 361 por cada 100 metros (García Pintos, 2023), mientras que los perros pastores presentan un bajo costo de adquisición (Frade, 2013).
Pese a esto, los mecanismos de abordaje de este problema multifactorial no se reducen al trabajo intrapredial. El principal componente del trabajo debería apuntar a la reducción de la población canina errante. Las campañas de esterilización constituyen uno de los principales mecanismos orientados a reducir la población canina. Si bien su eficacia ha sido documentada en otras regiones (Amaku et al., 2009; Garde et al., 2022; de Oliveira, 2024), en Uruguay sus resultados aún no han sido evaluados. Estudios internacionales sugieren que para estabilizar el tamaño de la población canina es necesario esterilizar al menos al 40 % de los animales (Totton, 2010) e incluso hasta un 70 % en ciertos contextos (Jackman & Rowan, 2007). No obstante, el crecimiento de estas poblaciones está estrechamente vinculado a las decisiones y conductas humanas (Zumpano et al., 2011). En este sentido, la educación de la población resulta fundamental tanto para fomentar la esterilización como para desalentar la libre circulación de perros. Asimismo, promover la denuncia puede contribuir a mejorar la recolección de datos y, en consecuencia, a fortalecer el diseño de políticas públicas orientadas a la tenencia responsable, la castración, el control de perros sueltos y la evaluación costo-beneficio de las medidas implementadas.
Conclusiones
Según la caracterización de denuncias se concluye que la especie más afectada por los ataques de perros en Uruguay es la ovina, cuya distribución no es homogénea en el país. Los productores tienen una percepción bastante aproximada de las pérdidas económicas directas por el ataque de perros. Sin embargo, existe una importante subnotificación de los ataques, por lo que el costo a nivel país es considerablemente mayor a lo identificado en las denuncias. Garantizar la seguridad de la actividad productiva debe ser una prioridad ante los ataques de perros, lo cual requiere abordar las limitantes que impiden dimensionar de forma adecuada el problema, como la subnotificación de casos. Para ello, es necesario mejorar los mecanismos de denuncia, profundizar en el estudio de las variables asociadas a los ataques, evaluar la relación costo-beneficio de los mecanismos de prevención y establecer campañas efectivas de control de la población canina.
Agradecimientos
Al INBA, por proporcionar los datos necesarios para este estudio. A la Comisión de Investigación y Desarrollo Científico (CIDEC) de la Facultad de Veterinaria (Udelar), por el financiamiento a través de una beca en el Programa “Ayudantes de investigación CIDEC 2020” que permitió desarrollarlo.
Referencias
Amaku, M., Dias, R. A., & Ferreira, F. (2009). Dinâmica populacional canina: potenciais efeitos de campanhas de esterilização. Revista Panamericana de Salud Pública, 25(4), 300-304. https://doi.org/10.1590/s1020-49892009000400003
Área de Economía y Administración. (2017). Consultoría: Estimación de costos económicos para el país como consecuencia de una tenencia no responsable de perros [Informe final]. Facultad de Veterinaria, Universidad de la República. https://www.fvet.edu.uy/wp-content/uploads/2024/09/Informe-final-Agosto-2017.pdf
Azzarini, M. (2000). Una propuesta para mejorar los procreos ovinos. SUL.
Bhalla, S. J., Kemmers, R., Vasques, A., & Vanak, A. T. (2021). ‘Stray appetites’: a socio-ecological analysis of free-ranging dogs living alongside human communities in Bangalore, India. Urban Ecosystems, 24(6), 1245-1258. https://doi.org/10.1007/s11252-021-01097-4
Buttler, J. R. A., du Toit, J. T., & Bingham, J. (2004). Free-ranging domestic dogs (Canis familiaris) as predators and prey in rural Zimbabwe: threats of competition and disease to large wild carnivores. Biological Conservation, 115(3), 369-378. https://doi.org/10.1016/S0006-3207(03)00152-6
Cecco, B. S., Molossi, F. A., Henker, L. C., Lorenzett, M. P., Correa, G. L., Driemeier, D., & Sonne, L. (2021). Causes of death in sheep in Rio Grande do Sul, Brazil: analysis of 523 cases (2004-2019). Pesquisa Veterinária Brasileira, 41, 1-8. https://doi.org/10.1590/1678-5150-PVB-6886
Cravino, J. L., Calvar, M. E., Poetti, J. C., Berrutti, M. A., Fontana, N. A., Brando, M. E., & Fernández, J. A. (2000). Análisis holístico de la predación en corderos: un estudio de caso, con énfasis en la acción de “Zorros” (Mammalia: Canidae). Veterinaria (Montevideo), 35(141), 24-42.
de Oliveira, A. M., Siqueira, L. A. D., Santana, R. L., da Silva Cabral, G., Hadad, Y. C., da Silva, E. S., da Silva Junior, L. M., Moreira, L. F. M., David, M. B. M. & de Carvalho, E. L. (2024). Effective methods for population control in dogs and cats in the municipality of Salinópolis. Pubvet, 18(11), e1690-e1690. https://doi.org/10.31533/pubvet.v18n11e1690
Dutra, F. (2005). Nuevos enfoques sobre la patología de la mortalidad perinatal de corderos. En Seminario de Actualización Técnica. Reproducción ovina: recientes avances realizados por el INIA (pp. 137-140). INIA. https://www.inia.uy/sites/default/files/publications/2024-10/Ad-401-Dutra-p.137-140.pdf
Frade, J. (2013). Medidas de defensa contra predadores. Ovinos Notas Prácticas (Hoja Coleccionable), (61). https://www.sul.org.uy/descargas/des/61-Manejo.pdf
Ganzábal, A. (2018). Control de depredadores con perros pastores. Revista INIA, (52), 8-12.
García Pintos, M. (2023). Medidas de defensa contra predadores en ovinos. Ovinos SUL, (194) (2), 22-25. https://www.sul.org.uy/ePaper?id=Agosto2023&doc=Ovinos_SUL-nro.194-Agosto-2023.pdf&id2=2439
Gula, R. (2008). Wolf depredation on domestic animals in the Polish Carpathian Mountains. The Journal of Wildlife Management, 72(1), 283-289. https://doi.org/10.2193/2006-368
Home, C., Pal, R., Sharma, R. K., Suryawanshi, K. R., Bhatnagar, Y. V., & Vanak, A. T. (2017). Commensal in conflict: Livestock depredation patterns by free-ranging domestic dogs in the Upper Spiti Landscape, Himachal Pradesh, India. Ambio, 46, 655-666. https://doi.org/10.1007/s13280-016-0858-6
Instituto Nacional de Estadística. (2023). Población preliminar: 3.444.263 habitantes. INE. https://www.gub.uy/instituto-nacional-estadistica/comunicacion/noticias/poblacion-preliminar-3444263-habitantes#
Jackman, J., & Rowan, A. (2007). Free-roaming dogs in developing countries: The benefits of capture, neuter, and return programs. En The state of the animals (pp. 55-78). Humane Society Press. https://www.wellbeingintlstudiesrepository.org/cgi/viewcontent.cgi?article=1002&context=sota_2007
Jones, K. (2004). Economic impact of sheep predation in the United States. Sheep & Goat Research Journal, 19, 6-12. https://digitalcommons.unl.edu/icwdmsheepgoat/10/
Lapidge, S., Dall, D., Hunt, R., Cowled, B., Smith, M., & Staples, L. (2006). A review of the impact of sheep predators in Australia and new control methods under development. Proceedings of the Vertebrate Pest Conference, 22(22), 258-263. https://doi.org/10.5070/V422110102
Loste, A., Ferrer, L., & Ramos, J. (2003). Características del ataque de animales predadores al ganado. Revista Pequeños Rumiantes, 4(1), 26-29. https://seoc.eu/wp-content/uploads/2016/06/pRv4n1abr03.pdf
Lovatt, F., Stevenson, H., & Davies, I. (2014). Sudden death in sheep. In Practice, 36(8), 409-417. https://doi.org/10.1136/inp.g5351
Mabille, G., Stien, A., Tveraa, T., Mysterud, A., Brøseth, H., & Linnell, J. D. (2015). Sheep farming and large carnivores: What are the factors influencing claimed losses? Ecosphere, 6(5), 1-17. http://dx.doi.org/10.1890/ES14-00444.1
Magaña, E. A. D., González, S. M., Flores, L. A. M., López, E. J., & Salgado-Moreno, S. (2012). Factores de la oveja, del cordero y del ambiente asociados a la mortalidad de los corderos. Abanico Veterinario, 2(1), 42-47. https://dialnet.unirioja.es/descarga/articulo/7396872.pdf
McLeod, R. (2016). Cost of Pest Animals in NSW and Australia, 2013-14. Natural Resources Commission. https://invasives.com.au/wp-content/uploads/2019/02/Cost-of-Pest-Animals-in-NSW-and-Aus-2013-14-web-HR.pdf
Ministerio de Ganadería, Agricultura y Pesca. (2018). Resultados de la Encuesta Ganadera Nacional 2016. OPYPA. https://www.gub.uy/ministerio-ganaderia-agricultura-pesca/sites/ministerio-ganaderia-agricultura-pesca/files/2020-02/encuesta_ganadera_2016_22012019.pdf
Ministerio de Ganadería, Agricultura y Pesca. (2024). Datos preliminares basados en la declaración jurada de existencias - DICOSE–SNIG (2024). Catálogo de Datos Abiertos. https://catalogodatos.gub.uy/dataset/mgap-datos-preliminares-basados-en-la-declaracion-jurada-de-existencias-dicose-snig-2024
Moran, D., Alvarez, D., Cadena, L., Cleaton, J., Salyer, S. J., Pieracci, E. G., Camposeco, L. R., Bernal, S., & Wallace, R. M. (2022). Heterogeneity in dog population characteristics contributes to chronic under-vaccination against rabies in Guatemala. PLoS Neglected Tropical Diseases, 16(7), https://doi.org/10.1371/journal.pntd.0010522
Morters, M. K., McKinley, T. J., Restif, O., Conlan, A. J., Cleaveland, S., Hampson, K., Whay, H. R., Damriyasa, I. M., & Wood, J. L. (2014). The demography of free‐roaming dog populations and applications to disease and population control. Journal of Applied Ecology, 51(4), 1096-1106. https://doi.org/10.1111/1365-2664.12279
National Sheep Association. (2020). NSA Sheep worrying by dog’s survey 2020. https://nationalsheep.org.uk/assets/documents/Results-Of-The-May-2020-Sheep-Worrying-By-Dogs-Survey-Here.pdf?v=1714142577
Ruiz, P., Benítez, G., Bobadilla, P. E., Piedracueva, M., & Damián, J. P. (2024). Do predator attacks on productive species and the respective economic losses influence the psychological distress of farmers in Uruguay? A cross-sectional study. Rural Remote Health, 24(1), 1-7. https://doi.org/10.22605/rrh7614
Saitone, T. L., & Bruno, E. M. (2020). Cost effectiveness of livestock guardian dogs for predator control. Wildlife Society Bulletin, 44(1), 101-109. https://doi.org/10.1002/wsb.1063
Sistema Nacional de Identificación Ganadera. (2023). Declaración jurada anual de existencias 2022-2023. MGAP. https://app.powerbi.com/view?r=eyJrIjoiNzM5ZjhmMTMtZTk4YS00ZTc3LWJmOTctZDM1NGIzZTg4YWU5IiwidCI6IjNlY2RjZTkxLWEwOTctNDdjYy1iMWUzLWJiOWIzNjExNGI1NSIsImMiOjR9
Šuba, J., Žunna, A., Bagrade, G., Done, G., Ornicāns, A., Pilāte, D., Stepanova, A., & Ozoliņš, J. (2023). Does Wolf Management in Latvia Decrease Livestock Depredation? An Analysis of Available Data. Sustainability, 15(11), 8509. https://doi.org/10.3390/su15118509
Totton, S. C., Wandeler, A. I., Zinsstag, J., Bauch, C. T., Ribble, C. S., Rosatte, R. C., & McEwen, S. A. (2010). Stray dog population demographics in Jodhpur, India following a population control/rabies vaccination program. Preventive Veterinary Medicine, 97(1), 51-57. https://doi.org/10.1016/J.PREVETMED.2010.07.009
United States Department of Agriculture. (2015). Sheep and lamb predator and nonpredator death loss in the United States. https://www.aphis.usda.gov/animal_health/nahms/sheep/downloads/sheepdeath/SheepDeathLoss2015.pdf
Van Niekerk, H. N. (2010). The cost of predation on small livestock in South Africa by medium-sized predators [Doctoral dissertation, University of the Free State, Bloemfontein]. UFS. http://hdl.handle.net/11660/2000
Zambra, N., Lacuesta, L., Orihuela, A., & Ungerfeld, R. (2021). Ewes behavioural and physiological reactions to the odour of fox (Lycalopex gymnocercus) and wild boar (Sus scrofa) faeces. Applied Animal Behaviour Science, 237, 105290. https://doi.org/10.1016/j.applanim.2021.105290
Zambra, N., Piaggio, J., & Ungerfeld, R. (2018). Encuesta sobre predación ovina en Uruguay. En Congreso Asociación Uruguaya de Producción Animal (Vol. 6, p. 144). AUPA. https://inia.uy/sites/default/files/publications/2024-10/AUPA-2018p138.pdf
Zambra, N., Piaggio, J., & Ungerfeld, R. (2019, noviembre 15-17). A survey on sheep predation in Uruguay [Póster]. Anais XXXVII Encontro Anual de Etologia: Interações entre animais, sociedade e ambiente. São Paulo, Brasil. https://www.etologiabrasil.org.br/eae/xxxvii-encontro-anual-de-etologia-2019/
Zumpano, R., Tortosa, A., & Degregorio, O. J. (2011). Estimación del impacto de la esterilización en el índice de crecimiento de la población de caninos. Revista de Investigaciones Veterinarias del Perú, 22(4), 336-341. http://www.scielo.org.pe/scielo.php?script=sci_arttext&pid=S1609-91172011000400007
Nota de contribución
Todos los autores participaron en igual medida en todos los procesos de conceptualización, curación de datos, análisis formal, escritura-borrador original y escritura-revisión y edición.
Disponibilidad de datos
El conjunto de datos que apoya los resultados de este estudio no se encuentra disponible.
Nota del editor
El editor José Manuel Verdes aprobó este artículo.
[1] Aproximación basada en la cotización del dólar en 2020.
[2] Uruguay cuenta con 281 seccionales policiales.
[3] Fijados como el promedio de la categoría oveja para el año correspondiente a partir de los datos del INAC (44,3 kg en 2018 y 44,8 en 2019).
[4] Valores de los ovinos (USD/kg) corresponde al precio promedio de reposición para el año obtenidos de la ACG (USD 1,13 en 2018 y USD 1,22 en 2019).
[5] Peso promedio fijado en 4 kg.
[6] Precio obtenido de los informes semanales del mercado realizado por el SUL, correspondiente a lana de 28 micras de diámetro por kg (USD 2,68 en 2018 y USD 2,62 en 2019).